网站首页
▽
学院简介
岗位职责
机构设置
新闻动态
党群工作
▽
党建引领
三会一课
组织生活
产教融合
▽
政府动态
行业前沿
校企合作
理事单位动态
人才培养
▽
通知公告
培养方案
教学管理
专业实践
招生工作
通知公告
学校主页
网站首页
学院简介
岗位职责
机构设置
新闻动态
党群工作
党建引领
三会一课
组织生活
产教融合
政府动态
行业前沿
校企合作
理事单位动态
人才培养
通知公告
培养方案
教学管理
专业实践
招生工作
通知公告
网站首页
>
通知公告
>
正文
通知公告
站内搜索
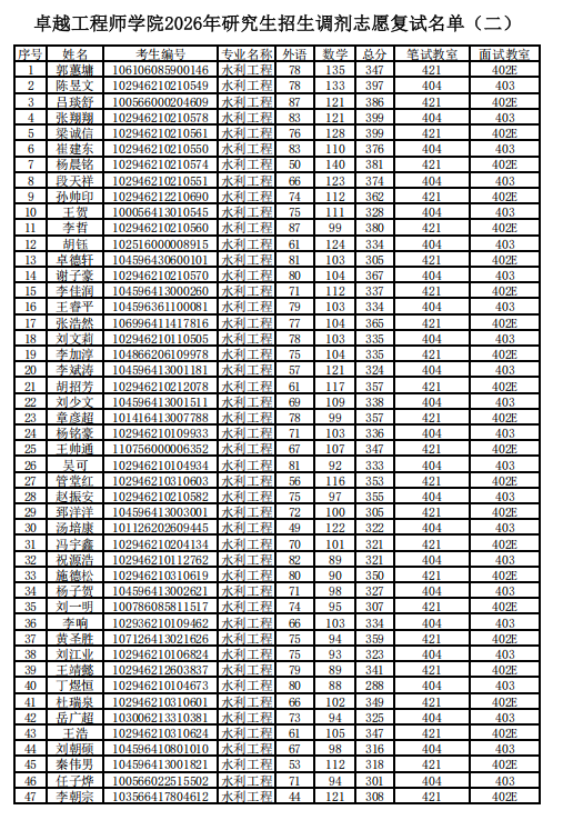
卓越工程师学院2026年研究生招生调剂志愿复试名单(二)
作者: 时间:2026-04-09 点击数:
上一篇:
卓越工程师学院2026年硕士研究生第二轮调剂公告
下一篇:
卓越工程师学院2026年研究生招生调剂志愿复试名单(一)